用户名:
密码:
验证码:
首      页 核电新闻 政策法规 聚焦核电 核电站一览 国产化 核电技术 招标信息 专家点评 人物风采 核电视频 技术论文 供应信息 核 安 全 后端处理 工程图片 走进核电 供应商名录 核科普 会议会展 合作交流 政经要闻 网上展台 核电图书 企业招聘 求购信息
您的位置:中国核电信息网  >  国内核讯  > 并联式等安匝法在大亚湾核电站发电机出口CT现场误差校验中应用

并联式等安匝法在大亚湾核电站发电机出口CT现场误差校验中应用

来源:中国核电信息网 发布日期:2010-11-08

郑汉军,孙浩良,吴良科 ,雷民,

国家高电压计量站,武汉430074

      摘要:本文提出了一种新的针对百万千瓦以上超临界大型核电发电机出口CT现场误差校验的方法--并联式等安匝法。运用理论计算和磁场仿真,分析了并联等安匝法相对于传统串联式等安匝法的特点。通过在大亚湾核电站一号机组电流互感器现场误差校验中的应用,验证了此方法较串联等安匝法具有更高的误差测量精度。同时文章还通过仿真计算分析了现场杂散磁通对二次测差回路测量精度的影响。

      关键词: GTA;并联式等安匝法;现场误差校准;杂散磁通

Application of parallel and equal ampere turns Method on Field Error Calibration Current Transformer in Exit of large Generator

ZHeng Hanjun1, WU Liangke1, SUN Haoliang1,LEi Min1, MA Ping2,, SUN Jian3

(1. State Grid Electric Power Research Institute, Wuhan 430074, China;  2. Tianjin Electric    Power Construction Company Nuclear project department, Shenzhen 518120, China;

   3. DAYA BAY Nuclear Power Operation and Management Company, Shenzhen 518120, China)

Abstract: This article present a new measuring method of errors of CT at the entrance in the large generator(GTA) : parallel and equal ampere turns method. using theoretical calculations and magnetic field simulation, the article analyzed the characteristics of parallel method which different from the traditional serial method. By field checking errors of the No.1 generating Unit current transformer in Ling Ao nuclear power plant, we verify that the parallel and equal ampere turns method has higher accuracy than the traditional serial method. In addition, by simulation, this article analyzes the influent of the stray flux of the scene on the measuring accuracy of second test circuit.

Key words:  GTA ,  parallel and equal ampere turns method,  field error calibration,  stray flux

 0 引语

      发电机出口电流互感器(GTA)是发电机的主要辅助设备,其质量好坏、抗干扰性强弱、精度高低都直接关系到发电机的安全运行,而现代大型发电机所用电流互感器几乎都为穿芯套入式,安装处空间小,电磁干扰强,要保证机组的安全经济有效运行,就要求GTA能在较为恶劣的机、电、磁、热干扰环境下工作,保证其精度的稳定,一但GTA发生故障,更换工作量大、工期长会造成较大的经济损失。以一台300MW机组为例,其机组满发24小时,对于计量用GTA仅出现0.1%的精度偏移时。一天造成“流失”就达7200kWh,这种情况在实际工作中是容易发生确又很难被发现的,运行一个月时有21万kWh电量计量误差。随着发电机组容量的增大,在经济效益的驱动下,发电企业按市场经济要求,也加强自身经济效益管理。在这种背景下,通过对影响现场误差校验的一次大电流导线分布形式、二次测差回路受现场漏磁通干扰影响分析,针对大亚湾核电站一号机出口计量用GTA参数,设计了并联式等安匝法的现场误差校验方案,通过试验证明了并联式等安匝法比传统串联式等安匝法更接近GTA实际工况,试验数据最具有代表性。
 
1. GTA校验方法简介

      传统GTA在技术上一直有两个难点,一是检测困难,另一个是在实际三相电压电流条件下运行时,邻相工作、短路时所产生漏磁干扰、一次绕组偏心、铁芯局部饱等因素对其误差造成的影响[1]。由于GTA一次额定电流值多在2~3万安培,采用传统测差方法需相同变比的标准器具[2],试验设备昂贵、体积庞大,需要大电流试验电源设备。一些生产厂家、试验单位采用在较低额定一次电流下试验,或者使用串联式等安匝法[3]进行等效测量,另有根据电流互感器(TA)误差数学模型采用负荷误差外推法[4],进行现场测试。从测试技术观点上看是可行,但执行过程中易受外界因素影响,在法规上也不明确。现场校验所模拟的试验状态也不尽相同,校验数据能否真实反映实际运行状况也存在疑异,在出现数据踩边或超差时往往会有争议产生。多年来国内外也提出一些设想及办法,但至今未见有相关实际应用情况报道。检索到文章多是关于保护用TPY型GTA电磁兼容性设计、选型参数方面文章,对计量用GTA误差分析类的较少,有关现场对计量用GTA误差校验的文章就更少。长期以来发电机出口的GTA的误差性能与变化情况也就不得而知[5],针对上述情况,对大亚湾核电站一号机组出口电流互感器,采用并联式等安匝测量方式,设计了现场试验方案,其一次电流升流能力可到1.2倍一次额定值,其一次电流导线的磁场分布也尽可能接近实际状态,保证了试验数据真实有效。

2. 大亚湾核电站一号机组计量用GTA并联式等安匝法现场误差校验方案

2.1计量用GTA并联式等安匝法现场试验方案介绍

      大亚湾核电站一号机组计量用GTA额定电流比为28000A/1A(28000/20与20A/1A级联) 准确度等级:0.5级,额定负荷:50VA。设备直径≤980mm、重量接近150kg。根据试验方案,GTA将置于发电机16米平台地面枕木上,用框架结构将标准电流互感器同轴叠放在被测GTA上方,然后用6×6000A升流器成圆弧状均匀摆放在周围,并用大电流多股编织导线将各升流器与标准、被测GTA穿心连接形成各自独立回路。考虑电源容量,并用电容器在升流器原边进行无功补偿。误差试验线路原理接线如图1

      作为GTA现场试验难点的电源部分,为了减小一次回路阻抗,试验时尽量将升流器与叠放在一起的标准电流互感器及被测电流互感器靠近一些,以减小回路长度与面积。各回路(共6路)均用5根5米长度的大电流多股编织导线进行连接。电流并联回路导线在分布上尽可能接近实际母线运行工况,在线圈内部段用尼龙扎扣组合成一股同心垂直放置,同时考虑到返回导线段对TA误差影响进行了合理布局。根据试验,长度5m、截面积为2.5cm2的大电流多股编织导线电阻值为0.4mΩ左右,则长度5m、截面积为12.5cm2大电流多股编织导线的电阻约为0.1mΩ。考虑到接触电阻因素,整个试验一次回路总电阻(有功部分)按0.5mΩ估算。根据经验数据,回路感抗不超过1.5mΩ,单个回路阻抗不超过2mΩ,当试验电流达到5600A时,则升流器输出电压不超过12V,考虑到调压器输入前端电源线路压降,可选用2台容量为60kVA,电压比为380V/8V升流器串联使用即足以满足要求。回路感抗估算值ZL=1.5mΩ,试验采取升流器原边并联电容来进行无功补偿,此时升流器变比取38/8,则所需补偿电容量估算值为C≈4000μF,回路参数数据以实测为准,试验时在试验线路中接入功率因数测量仪进行监测,确定补偿度是否达到最优状态。在最优状态时,调压器输出容量仅考虑被试回路纯电阻有功部分。估算调压器值不超过100kVA,考虑到容量系数选用额定容量150kVA、输入电压380V的调压器。现场GTA误差校验试验如图2

2.2 一次大电流并联磁场分布分析

      传统的串联式等安匝法与并联式等安匝法区别主要在一次磁路磁势 的形成方式,评价两种方法好坏依据是两种方法所产生的磁场分布与一次母线磁场分布的趋近程度。串联式等安匝法采用电流串联的方式形成了一次磁势,并联式等安匝法则采用电流并联方式。两者在一次磁势数值上均与一次母线的相同,但在由电流形成的磁场分布上有较大区别。根据磁场强度仅决定于产生磁场的电流的分布情况的定律[6],用一次电流导体的分布形式所形成的磁场分布作为判定两种方法测试数据是否有效的依据。所以要首先搞清一次母线电流分布所产生的磁场分布,作为两种方法的判定标准。根据试品尺寸建立模型,使用Ansoft软件对一次母线电流分布所产生的磁场分布进行仿真,其磁场强度分布情况如下图3

      从云图3中看到在GTA铁芯圆周方向上磁场强度相等,分析是由于铁芯直径尺寸较大,磁场强度绝对数值量较小且分布均匀,径向变化量很小。为更清楚地观察铁芯中磁场分布情况,在加厚GTA铁芯尺寸修改仿真模型基础上,再做仿真计算分析,如图4所示,在铁芯径向平面上,由中心向外,磁场强度逐渐减小。铁芯圆周的每个断面上通过磁感应强度基本一致。仿真同时发现一次母线铜导体磁场强度也不是均匀分布,在轴向方向上,中间铁芯环绕处磁场强度最强,由电流的趋肤效应,在径方向上,一次母线铜导体表面场强最强。如图5。 所以在采用并联式等安匝进行误差校验时,对并联一次组合导体处理方式上时要加以考虑。

      对串联式等安匝法中串联电流分布(按均匀绕制分布方式建模)所形成磁场分布进行仿真如图6,

      图中为简化分析模型,用六只均匀分布的电流环体并通以28000/6A同一电流源来模拟串联式等安匝法的电流分布。从图中可以观察到在靠近电流环处铁芯上的磁场分布有集中现象。
对并联式等安匝法中并联电流分布(按集中成一股方式建模)所形成磁场分布进行仿真如图7所示

      同时对这种并联式等安匝法中,并联导体没有集中绑扎成一股而是均匀分布于铁芯园周上的情况进行磁场强度分布仿真如图8。

      当六根导体若集中在线圈一处时,磁场强度分布仿真如图9

      通过对并联式等安匝导线三种典型不同状态分布分析仿真,可以得到铁芯上磁场强度沿径向平面上总的分布特点由内向外逐渐减小,但铁芯圆周的每个断面上通过磁密有较大差异,图7与图3中铁芯的磁场分布最为均匀也最为接近,即并联式等安匝法中并联电流集中分布所形成磁场最接近单母线方式的磁场分布。同时图6与图8的铁芯磁场分布则比较接近,都有铁芯局部分布过密现象,没有单母线方式的均匀,可以把并联式等安装法的非集中均匀圆周分布看成是串联式等安匝法的均匀分布状态。在图9中铁芯局部分布过密现象则表现的特别突出,串联式等安匝法一次绕线分布不均时也会出现相同的状况,在GTA设计中,厂家考虑到精度及仪表保安系数,设计时铁芯不会在低于1.2倍额定电流时出现饱和[7],同时为防止屏蔽邻相漏磁干扰,在铁芯上加绕屏蔽绕组,对改善铁芯中磁密分布不均的情况也有一定的改善作用[8],  但出现铁芯局部饱和电流超过屏蔽绕组设计值时,会在二次绕组中出现过流发热造成热损伤[9],需要指出的是铁芯这种局部饱和的情况主要是由于漏磁链过于集中。

      比较上述各种状况的仿真结果可以得到

      1)并联式等安匝法是用“安匝并联方式”解决了一次大电流所需电源容量问题,(采用感应分流方式可解决大电流变比标准器问题)同时将GTA一次母线绕组用并联等安匝方式进行了磁场分布的等效,尽可能接近单母线的工作方式。

      2)串联式等安匝法在磁势数值上满足了要求,在磁场分布上与单母线工作方式有较大差别。无论何种方式,若出现一次导线分布不均或集中一处时,都会产生铁芯中磁密分布不均的情况,会使误差超差,严重时会出现铁芯的局部饱和。

对铁芯中磁密分布不均的情况而对误差所产生的影响用功率损耗的观点进行分析,使用互感器误差公式的另一种形式可表达为:

2.3现场漏磁通对二次测差回路误差测量所造成的影响

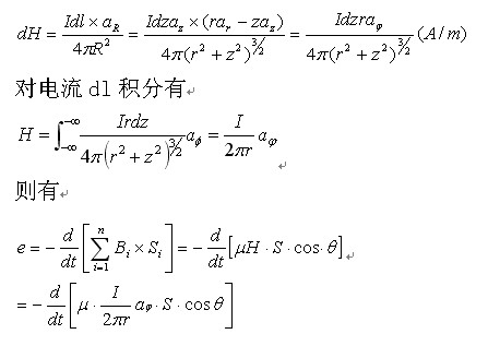
      现场试验所临时搭建的误差测试系统与标准试验室系统相比存在较多的不确定性因素,除去电源容量因素外,由二次引线所带来的不确定性因素最大。从现场GTA误差校验试验图二中看到二次测量回路特别是测差回路部分不同与标准试验室相对固定,线路多暴露放置在地面(标准试验室二次回路多用屏蔽管从地下穿过)。设备、电源位置不能固定,难以保证测量引线避开工频电源线、一次大电流引线的干扰。所以现场试验时,需合理进行布局,在二次回路引线的长度与走向上,尽可能避开有强磁场区间,在不可避免情况时,尽可能减小漏磁通在二次回路特别是二次测差回路上的作用面积,减小对误差测量影响。根据电磁感应定律[13];

      其中θ角为S面法线方向与该处B方向之间夹角,为简化进行估算设定成为零时,二次测差回路上产生近1.8V感应电势,从测差回路的原理图11上看到,漏磁通对二次测差回路所造成的感应电流对误差测量的影响量是不可忽略的。影响量达到了误差限值的1/5。

3. 现场误差试验数据分析

      试品GTA电流比28000A/1A由两级组成,第一级电流互感器(28000A/20A),第二级电流互感器(20A/1A),二次负荷分别为20VA、5VA和1VA。根据用户要求分别对两级组合的28000A/1A、20A/1A电流比进行校验。

      表一;电流比28000/1(编号:2GPA107TI与2GPA367TI级联)试验数据

      Tab.1 The experiment results of current ratio:28000/1(Number:2GPA107TI and 2 GPA367TI series connection)

4. 结束语

      文章通过对大亚湾核电站一号机组计量用GTA现场误差试验设计,首次提出了并联式等安匝的试验方法,通过对不同一次电流导体分布的磁场分析,比较了串联式等安匝法与并联式等安匝法的差别,指出并联式等安匝法更接近单母线穿心结构GTA的工作状态, 为这类大电流、大窗口尺寸TA误差校验提供了一种有效的试验方法。对现场中影响误差试验的因素也进行分析,给出了相应解决方案。

(参 考 文 献)

      [1]高祖绵. 短路故障时发电机保护用电流互感器中屏蔽绕组作用的评估[J]. 变压器, 2002, 39(2):1-3.

GAO Zu-mian. Estimation on Effects of Shielding Winding in Protective Current Transformers for Generator at Short-Circuit Fault Condition[J]. Transformer, 2002, 39(2):1-3.

      [2]国家质量技术监督局. JJG313-1994 测量用电流互感器检定规程[S]. 北京:中国计量出版社, 1994.

      [3]赵修民. 电流比例标准[M]. 山西: 科学教育出版社, 1980.

      [4]国家质量监督检验检疫总局. JJE1021-2007电力互感器检定规程[S]. 北京:中国计量出版社, 2007.

      [5]陈尚发. 大型发电机电流互感器的误差研究[J]. 上海大中型电机, 2005, (4):20-21.

      [6]张三慧. 大学物理学(第三册)电磁学[M]. 北京: 清华大学出版社, 2000.

      [7]中华人民共和国国家发展和改革委员会. DL/T 866-2004 电流互感器和电压互感器选择计算导则[S]. 北京:中国电力出版社, 2004.

      [8]杨树锋. 大型发电机中型点电流互感器故障分析[J] . 变压器, 2010, 47(1):60-63.

      YANG Shu-feng. Fault Analysis of Neutral Point Current Transformer in Large Generator[J] . Transformer, 2010, 47(1):60-63.

      [9]林贵文 任树峰. 大型发电机用电流互感器的屏蔽绕组结构[J] . 电力建设, 2006, 27(3):58-60.

      Lin Guiwen, Ren Shufeng. Shield Winding Structure of Current Transformer for Large-capacity Generator[J] . Electric Power Construction, 2006, 27(3):58-60.

      [10]候铁信. 发电机出口CT现场校验方法分析[J]. 高电压技术, 1993, 19(12):74-76.

      Hou Tiexin. Analusis of On-site Calibration Method of Current Transformer in Exit of Generator[J]. High Voltage Engineering, 1993, 19(12):74-76.

      [11]赵修民. 测量用互感器[M]. 北京: 机械工业出版社, 1986.

      [12]陆文骏. 精密电流互感器、电流比较仪、互感器校验仪理论与设计[M]. 北京: 机械工业出版社, 1988.

      [13]Joseph A. Edminister. Schaum’s Outlines Theory and Problems of Electromagnetics, Second Edition[M]. American: McGraw-Hill Companies, Inc.  , 1995.

      作者简介:

      郑汉军(1975-),男,工程硕士,主要从事高电压大电流计量测试研究。
      联系人:郑汉军
      电话:027-59834644
      Email:  zhenghjwhvri@163.com
      详细通信地址:武汉市洪山区珞瑜路143号 国网电力科学研究院计量测试研究所

我来说两句
网名: 您的联系方式: (电话,手机)
验证码:
查看评论(0)
网友评论请注意

遵守中华人民共和国有关法律、法规,尊重网上道德,承担一切因您的行为而直接或间接引起的法律责任。

中国核电信息网拥有管理留言的一切权利。

您在中国核电信息网留言板发表的言论,中国核电信息网有权在网站内转载或引用。

中国核电信息网留言板管理人员有权保留或删除其管辖留言中的任意内容。

如您对管理有意见请用 意见反馈 向网站管理员反映。